DOZ
09 | 2017
87
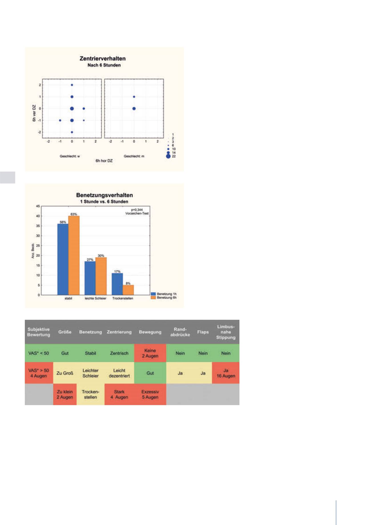
Abb. 11: Beurteilte
Bewertungskrite
rien: rothinterlegte
Merkmale waren
Ausschlusskriterium
für die Abgabe
fähigkeit.
Abb. 10: Benet
zungsverhalten nach
einer einstündigen
Tragezeit im Ver
gleich zur sechs
stündigen Tragezeit.
Abb. 12: Die Scheiteltiefen zeigten Werte von 2223,50 µm bis 4180 µm.
* VAS = visuelle Analogskala
anderen Eigenschaften Abhilfe schaffen.
In der vorliegenden Anwendungsbeob-
achtung wurde diese Optimierung nicht
durchgeführt.
Es gibt mehr als
eine Größe
Konfektionierte „Zwei-Parameter-Linsen“
sind gute Produkte für eine Vielzahl von
Kunden. Eine Versorgung aller Augen ist
mit einer geringen Parametervielfalt nicht
möglich. Es obliegt dem Anpasser, die
Abgabefähigkeit verantwortungsbewusst
einzuschätzen. Hierzu ist das Anfärben
mit Fluoreszein ein absolutes Muss. Der
Anpasserfolg kann nicht vorhergesagt
werden. Es konnte kein Parameter fest-
gestellt werden, das über den Anpassver-
lauf entscheidet. Die vorliegende Studie
zeigt lediglich eine Momentaufnahme,
Aussagen zu Auswirkungen nach einem
längeren Tragen können daher nicht ge-
troffen werden. Im Sinne des Kunden und
im Sinne der Ökonomie ist der Anpasser
gefordert, die besonderen Augen zu iden-
tifizieren und den Anpassprozess durch
den Einsatz individualisierbarer Linsen
zu optimieren.
n
Katharina Raschka B.Sc., Dipl.AO (FH)
und Sylvia Wulf M.Sc.
Fotos und Grafiken:
Fielmann Akademie Schloss Plön
Literatur
[1] C Kempgens; Anpassung individueller
weicher Kontaktlinsen; die Kontaktlinse
2017(4) 611
[2] KP Mashige; A review of corneal diameter,
curvature an thickness values and influencing
factors; S Afr. Optom 2013 72(4) 185194
[3] C Blaurock et al.; Bicentral, retrospec
tive Study to compare corneal Diameter,
Curvature an Eccentricity of Caucasian Eyes;
American Academy of Optometry
[4] Branchenstudie Augenoptik, Deutschland
und die Welt – Märkte, Consumer und Trends
2015/2016
[5] Van der Worp & Mertz; Sagittal height
differences of frequent replacement silicone
hydrogel contact lenses; CLAE 2015 38(3)
157162
[6] Truong et al.; Factors in Contact lens
Symptoms: Evidence from a Multistudy
Database; Optometry an Vision Science 2013
91(2) 133141
[7] S Lohrengel; Der Limbus nichts Besonde
res? Denkste! Die Kontaktlinse 2013(4) 412
erkennen sind. Der Limbus ist ein sehr
empfindlicher Bereich des Auges, in dem
auch die Limbusstammzellen sitzen, die
zur Regeneration des Epithels notwendig
sind. Dieser Bereich sollte unbedingt ge-
schont werden. [7] Daher ergibt sich ein
definitives Ausschlusskriterium für die
Abgabefähigkeit der Linsen bei limbus-
nahen Stippen.
Sind limbusnahe Stippen erkennbar,
kann eine flachere Linse, eine andere
Randgestaltung oder ein Material mit




