Optometrie Subjektive Refraktion: algorithmusbasiert vs. konventionell

Abb. 1b: Blick durch den Eye Refract (VX 160) von Luneau Technology in die Ferne.

© Julia Hoffmann

Die subjektive Refraktion ist in der Welt der Optometrie und Ophthalmologie elementar und erfährt seit Jahrzehnten nur wenig Innovationen. Doch ist der derzeitige Goldstandard tatsächlich eine unverbesserliche Methodik? Der Eye Refract (VX160) ermöglicht ein neuartiges Verfahren der subjektiven Refraktion: algorithmusbasiert (https://luneautech. de/produkt/eye-refract-tm-visionix).

Ziel dieser Studie war es, die Methodik „algorithmusbasierte subjektive Refraktion“ mit der konventionellen subjektiven Refraktion zu vergleichen. Hierfür wurden folgende Parameter verglichen: sphäro-zylindrische Refraktionswerte für die Ferne, Vcc für die Ferne sowie die Untersuchungszeit für die subjektive Refraktion. Abschließend erfolgte eine Zufriedenheitsbewertung seitens der Probanden. Die Refraktionsergebnisse beider Methoden konnten durch den Eye Refract (VX160) vorgeschaltet und somit ein direkter Vergleich unterschiedlicher Refraktionswerte ermöglicht werden. Da das algorithmische Verfahren unter anderem auf die objektiven Refraktionswerte nach Wellenfronttechnologie zurückgreift, wurden zusätzlich Messungen am DNEye Scanner 2 durchgeführt. Somit wurden die wellenfrontbasierten Refraktionswerte des Eye Refract (VX160) anschließend mit den gemessenen Werten des DNEye Scanner 2 verglichen. Für die nachfolgend beschriebene Studie wurden folgende Nullhypothesen formuliert:

Abb. 1a: VX 160 Eye Refract (VX160): Frontal geöffnet

© Julia Hoffmann
  1. Es besteht kein signifikanter Unterschied der Korrektionsstärke SE, J0, J45, des monokularen und binokularen Visus, der Untersuchungszeit und der visuellen Zufriedenheit zwischen AB und SR.
     
  2. Es besteht kein signifikanter Unterschied von SE, J0, J45 beider Aberrometer.

Grundlagen: Funktionsweise Eye Refract (VX160)

Objektive Messung; Wellenfronttechnologie: Vor der algorithmusbasierten subjektiven Refraktion wird eine objektive Refraktion durchgeführt. Diese erfolgt, wie auch beim DNEye Scanner2 (https:// www.rodenstock.de/de/de/dneye-scanner.html), nach dem Hartmann-Shack-Prinzip. Die Sensoren werden automatisch zentrisch zur Pupille positioniert und können zusätzlich manuell mittels Tablet gesteuert werden. Der Unterschied zum DNEye Scanner 2 liegt zum einen im Aufbau des Geräts (frontal geöffnet; Abb. 1) und zum anderen werden zwei Hartmann-Shack-Sensoren verwendet, die eine simultane und binokulare Messung ermöglichen. Das frontal geöffnete Design ermöglicht es dem Probanden, wie auch bei einem konventionellen Phoropter, den Blick auf ein tatsächlich in der Ferne liegendes Objekt zu richten. Hierzu wird ein Monitor in einem Abstand von mehr als 3 Metern zentrisch vor dem Gerät positioniert (Foto linke Seite).

Algorithmusbasierte subjektive Refraktion (AB- Modus): Der Algorithmus benötigt als Eingangsvariablen die objektive Refraktionsbestimmung der Wellenfronttechnologie und – sofern vorhanden – die bisherigen Brillenkorrektionsstärken. Die Werte der bisherigen Brille können mit dem im Lieferumfang enthaltenen Aberrometer ermittelt werden. Per WLAN-Kommunikation zwischen Scheitelbrechwertmesser und Eye Refract werden aktuelle Brillenwerte direkt ans Gerät übertragen. Zwischen diesen beiden Eingangsvariablen bewegt sich der Algorithmus und anschließend wird ein Abgleich zwischen den ermittelten Werten der Wellenfrontmessung und den aktuellen Brillenwerten monokular durchgeführt. Dazu werden die sphärozylindrischen Kombinationen auf Basis der Powervektoren der Wellenfrontmessung und der aktuellen Brillenwerte für den Probanden als Seheindruck 1 oder 2 dargestellt. Je nach bevorzugtem Seheindruck ändert sich der Powervektor der anderen Darstellung und wird erneut erfragt. Die Differenz der beiden Powervektoren 1 und 2 wird somit nach jeder Antwort des Probanden geringer und eine möglichst genaue Ermittlung des idealen Powervektors bzw. der Korrektionsstärke wird ermöglicht.

Konventionelle subjektive Refraktion (SR-Modus): Der Eye Refract (VX160) ermöglicht zudem die Durchführung einer konventionellen subjektiven Refraktion mit allen hierfür benötigten Testverfahren. Das Vorschalten der Gläser wird in diesem Modus über ein Tablet gesteuert.

Zum Literaturverzeichnis

Methodik: Design, Teilnehmer, Ablauf, Auswertung

Studiendesign und Teilnehmer: Es handelt sich um eine Querschnittstudie. Die Messreihe fand ausschließlich im Sehlabor an der Hochschule München statt. Die Messungen führte eine Augenoptikermeisterin durch, die fünf Jahre Berufserfahrung im Bereich Refraktion vorweisen kann. Um die Präzision beziehungsweise Reproduzierbarkeit der objektiv gemessenen Refraktionswerte zu gewährleisten, wurden jeweils vier Wellenfrontmessungen mit beiden Aberrometern vorgenommen. Der gesamte Messablauf wurde ohne Zykloplegie durchgeführt. Es wurden 140 Teilnehmer (76 Frauen und 64 Männer) vermessen und die Ergebnisse beider Augen getrennt statistisch ausgewertet. Das Alter der Teilnehmer lag zwischen 17 und 64 Jahren (Durchschnittsalter: 34 ± 12 Jahre). Als Ausschlusskriterium wurden Teilnehmer mit Amblyopie (Vcc < 0,30), okulären Verletzungen bzw. Erkrankungen und bei Einnahme von Medikamenten, aufgrund möglicher Verfälschung der Test ergebnisse von der Studie ausgeschlossen. [2]

Untersuchungsablauf: Sofern der Proband eine Brille mit aktueller Fernkorrektion mitbrachte, wurden die Werte mit dem Scheitelbrechwertmesser bestimmt und an den Eye Refract übertragen. Als nächster Schritt wurde die binokulare Wellenfrontmessung ausgeführt, wobei der Proband unter Verwendung einer Kinn-Stirnstütze positioniert wurde, sodass anschließend die Pupillen automatisch gefunden wurden. Gegebenenfalls konnten per Tablet manuelle Nachjustierungen vorgenommen bzw. die Qualität der Sensorbilder durch Variation der Probandenposition optimiert werden. Als nächster Schritt begann die algorithmusbasierte subjektive Refraktion (AB-Modus) und ab jetzt wurde die Untersuchungszeit gemessen.

Der Proband bekam hierzu, nach Empfehlung des Herstellers, standardmäßig die Visuszeile 1,0 dargeboten. Beim Blick auf eine bestimmte Optotype musste der Teilnehmer mehrmals zwischen Glas 1 oder 2 wählen. Als Startwerte wurden zunächst die ermittelten Werte der Wellenfrontmessung und anschließend die bisherige Brillenkorrektion vorgehalten. Je nach Auswahl des bevorzugten Seheindrucks näherte der Algorithmus die als nächstes dargebotenen Messgläser an und die Differenz zwischen 1 und 2 minimierte sich bis die ideale Korrektion bestimmt wurde. Die Refraktionsbestimmung erfolgte monokular. Anschließend wurde der erreichte monokulare und binokulare Visus gemessen. Grundsätzlich galt eine Visusstufe als erkannt, wenn der Proband drei von fünf Optotypen richtig benannte. Das Abbruchkriterium zur Bestimmung des Visus war somit das Falschlesen von mindestens drei Optotypen einer Visuszeile. Dazu musste der Proband zwingend, auch bei Nichterkennen, die Optotypen der gesamten Visuszeile benennen. Die Untersuchungszeit wurde auf dem Protokoll notiert.

Aufbauend auf den algorithmusbasierten Korrektionsstärken erfolgte anschließend die konventionelle subjektive Refraktion (SR-Modus), wobei hier der Eye Refract als automatischer Phoropter und dieselbe Sehprobentafel (Monitor) genutzt wurden, damit die Ergebnisse vergleichbar sind. Die Untersuchungszeit wurde ab Beginn der subjektiven Refraktion bis zur Ermittlung des endgültigen Visus gestoppt. Zuletzt wurde die Zufriedenheit des Seheindrucks mit vorgeschalteter subjektiv ermittelter Korrektionsstärke erfragt. Hierzu blickte der Teilnehmer auf die kleinstmöglich erkannte Visuszeile und bewertete von einer Skala von 0 (sehr schlecht) bis 10 (sehr gut) nach eigenem subjektivem Empfinden. Die Kriterien der Beurteilung wurden somit vom Probanden selbst festgelegt. Um die spontane Entscheidung des Probanden nicht zu beeinflussen, wurde die Anzeige der aktuellen Visusstufe auf dem Monitor abgeklebt. Zum Vergleich wurden die Gläser des algorithmisch bestimmten Verfahrens vorgeschaltet und der Teilnehmer erneut aufgefordert, den Seheindruck individuell zu bewerten. Anschließend wurde die Befragung mit den ermittelten Stärken der Wellenfrontmessung und den alten Brillenwerten bzw. ohne Stärke durchgeführt und auf dem Protokoll notiert. Die Werte wurden stets in der genannten Reihenfolge dargeboten, da dies technisch nicht anders möglich war. Zuletzt erfolgte eine objektive Wellenfrontmessung am DNEye Scanner 2.

Statistische Auswertung: Die Auswertung der Studie erfolgte mithilfe eines Statistikprogramms (IBM SPSS Statistics Version 25), die Überprüfung der Daten auf Normalverteilung wurde mit dem Kolmogorov-Smirnov-Test durchgeführt. Da die jeweiligen Datensätze nicht normalverteilt waren, wurde zur Bestimmung der p-Werte der Wilcoxon-Vorzeichen- Rang-Test für abhängige Stichproben und zur Bestimmung der r-Werte die Spearman-Korrelation gewählt. Zur Betrachtung möglicher Differenzen zwischen den Messmethoden wurden beide Augen statistisch ausgewertet. Lediglich bei der Analyse des monokularen Visus wurde aufgrund der starken Abhängigkeit beider Augen zueinander nur der Visus des rechten Auges verwendet. [3]

Die ermittelten Refraktionsstärken wurden in Powervektoren mit den Komponenten SE, J0 und J45 umgerechnet. Zur Verdeutlichung möglicher Differenzen wurde die Fehlsichtigkeit SE zusätz lich in den Gruppen Emmetropie < 0,5 bis > − 0,5; Myopie ≤ − 0,5 und Hyperopie ≥ 0,5 in dpt eingeteilt. Korrelationen der Ergebnisse wurden nach Spearman berechnet und eingeteilt in keine (r ≤ 0,10), schwache (0,10 < r < 0,50), mittlere (0,50 ≤ r ≤ 0,70), starke (0,71 ≤ r ≤ 0,86) und sehr starke (0,87 ≤ r ≤ 0,99) positive Korrelationen. Die Differenz gilt bei 0,010 ≤ p < 0,050 als statistisch signifikant, 0,001 < p < 0,010 als hoch signifikant und p ≤ 0,001 als höchst signifikant.

Ergebnisse

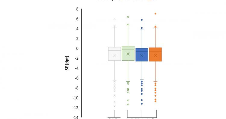
In Abbildung 2 sind die sphärischen Äquivalente (SE) aller untersuchten Messmethoden zusammengefasst dargestellt.

Differenz von SE, J0, J45 zwischen AB & SR

In der Gesamtgruppe betrug das SE im AB-Modus −1,50 ± 2,71 dpt und im SR-Modus −1,47 ± 2,75 dpt. Es konnte kein signifikanter Unterschied festgestellt werden (p = 0,083). In Abbildung 3 (s. Bildergalerie) werden die Daten in einem Bland-Altman-Plot dargestellt. Vielmehr zeigt sich eine sehr starke positive Korrelation (r = 0,98), (Abb. 4; s. Bildergalerie). Es wurde eine mittlere Differenz von −0,04 dpt, mit einer Obergrenze von 0,68 dpt und einer Untergrenze von −0,76 dpt ermittelt. In Tabelle 1 werden zusätzlich die J0- und J45Ergebnisse gegenübergestellt, die ebenfalls keine signifikanten Differenzen aufweisen.

Abb. 2: Sphärische Äquivalente für WavefrontMessung Eye Refract (VX 160), WavefrontMessung DNEye Scanner2 (DNEye), algorithmusbasierte Refraktion (AB) und konventionelle subjektive Refraktion (SR) als Box-Whisker-Plots dargestellt (die durchgezogene Linie innerhalb der Box entspricht dem Median, die Box umschließt 50 Prozent der mittleren Daten, X zeigt das arithmetische Mittel, Whisker stellen die leichten Ausreißer mit max. 1,5-facher Boxlänge dar, die Punkte außerhalb beschreiben die extremen Ausreißer).

© Julia Hoffmann

Tabelle 1: Wilcoxon-Test und Bland-Altman statistisch relevante Ergebnisse der Gesamtgruppe (alle Daten), der Differenz AB (algorithmisch) und SR (konventionell).

© Julia Hoffmann

Abb. 6: Bland-Altman-Plot zeigt signifikante Differenz von SE der Gesamtgruppe zwischen VX160 – DNEye.

 

© Julia Hoffmann

Um signifikante Unterschiede der Methoden zu konkretisieren, wurden die sphärischen Äquivalente SE nach Fehlsichtigkeiten eingeteilt und diese ebenfalls grafisch dargestellt. Hierbei wurden signifikante Unterschiede zwischen den Emmetropen und Hyperopen ersichtlich (Δ SE Emm: − 0,10 dpt, p = 0,002; Δ SE Myop: 0,02 dpt, p = 0,207; Δ SE Hyp: − 0,19 dpt, p = 0,004). In Abbildung 5 (s. Bildergalerie) werden die Differenzen (Δ SE = AB − SR) aufgetragen und die tendenziell negativer bestimmten SE-Korrektionswerte im AB-Modus ersichtlich.

Differenz von SE, J0, J45 zwischen Wellenfrontmessung Eye Refract (VX160) und DNEye Scanner 2

Die Wellenfront-Messergebnisse zwischen DNEye Scanner 2 und Eye Refract (VX160) zeigen eine mittlere Differenz von 0,2 dpt: SE Mittelwert ± SD Eye Refract (VX160) – 1,18 ± 2,76 dpt; DNEye Scanner 2 –1,37 ± 2,63 dpt und unterscheiden sich höchst signifikant (p ≤ 0,001, r = 0,99). 98 Prozent der Varianz (R²) konnte mit dem linearen Regressionsmodell erklärt werden. In Abbildung 6 werden die Daten mithilfe eines Bland-Altman-Plots dargestellt und in Tabelle 2 zusätzlich die J0- und J45-Werte aufgelistet.

Tabelle 2: Statistische Analyse (Wilcoxon-Test und Bland-Altman) der Wellenfrontmessungen  mit Eye Refract (VX160) und DNEye Scanner 2 (statistisch signifikant rot formatiert).

 

© Julia Hoffmann

Abb. 7: Rechtes Auge: Vcc nach AB = – 0,14 ± 0,11 logMAR, Median = – 0,08; Vcc nach SR (konventionell) = – 0,16 ± 0,11 logMAR, Median = – 0,20. Anmerkung: ein Visus von 1,0 in dezimal entspricht in logMAR 0,00. Ist der Visus in Dezimalschreibweise >1, wird der logMAR-Wert <0.

Unterschiede zwischen Wellenfrontergebnissen und subjektiver Refraktion

Ein Vergleich der beiden Wellenfrontergebnisse von Eye Refract und DNEye Scanner 2 mit den Ergebnissen der konventionellen subjektiven Refraktion zeigt sowohl für SE als auch J0 signifikante Unterschiede.

Differenz monokularer Visus nach AB- und SR-Modus

Durch die zusätzliche subjektive Refraktion erreichten die Probanden im Mittel einen höheren Visus als mit der algorithmusbasierten Refraktion, (p = 0,004; r = 0,68). Die Verbesserung des Visus (nach AB: – 0,14 ± 0,11 logMAR) durch die zusätzliche subjektive Refraktion (nach SR: – 0,16 ± 0,11 logMAR) entspricht weniger als einer Zeile und wurde als klinisch nicht relevant eingestuft (Abb. 7).

Untersuchungszeit zwischen AB- und SR-Modus

Es wurde ein höchst signifikanter Unterschied der Untersuchungszeiten gemessen (AB: 2,19 ± 0,90 Min., SR: 5,34 ± 1,71 Min., p ≤ 0,001). In Abbildung 8 (s. Bildergalerie) ist eine wesentlich stärkere Streuung der Werte im SR-Modus dargestellt. Zu beachten ist allerdings, dass die Zeit erst ab Beginn der subjektiven Refraktionsbestimmung gemessen wurde. Die Dauer der notwendigen Vormessungen für die jeweiligen Methoden (Wellenfrontmessung für algorithmusbasierte Refraktion und deren Ergebnis für die subjektive Refraktion) sind bei der Untersuchungszeit nicht mit eingerechnet.

 

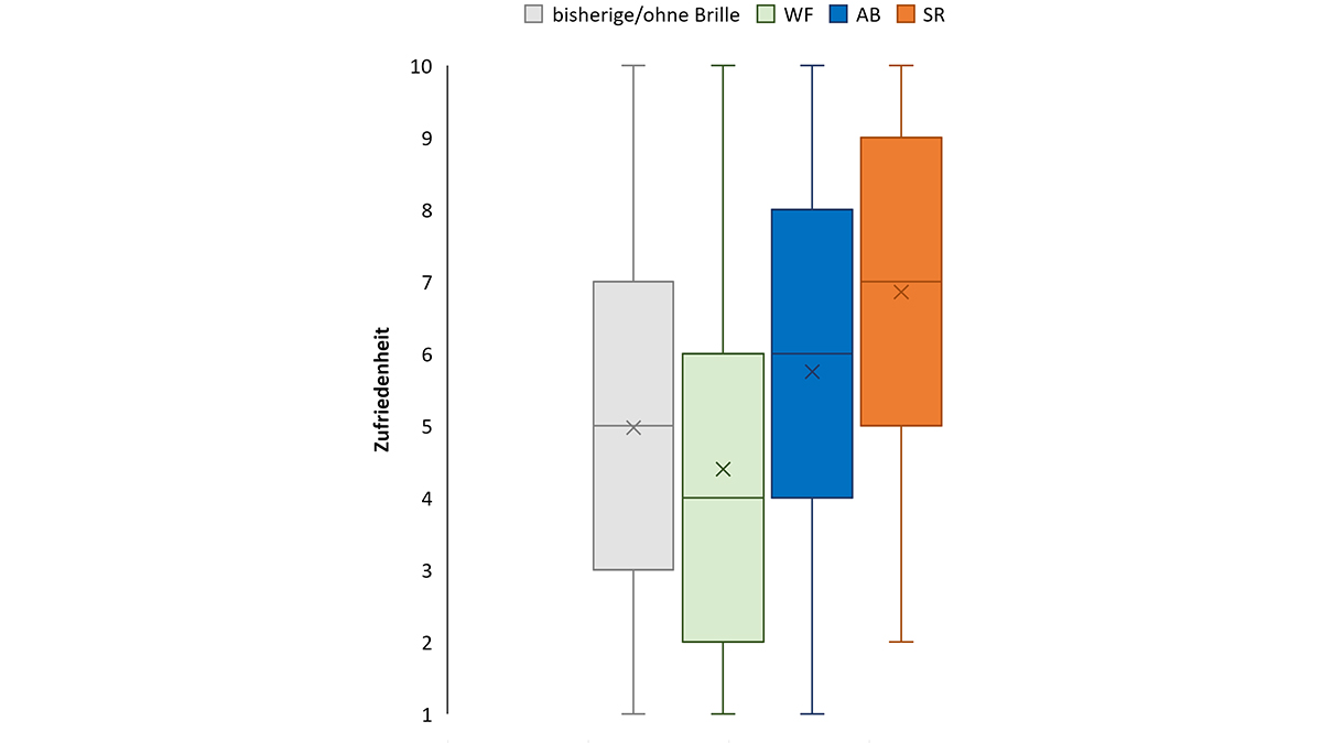
Visuelle Zufriedenheit

Im Fokus der Studie lag die Differenz der Zufriedenheit zwischen den ermittelten Korrektionsstärken der bisherigen bzw. ohne Brille, Wavefrontmessung VX160 Eye Refract (WF), AB- und SR-Modus, die mit Hilfe des Wilcoxon-Tests analysiert wurde. Es konnte ein höchst signifikanter Unterschied (AB: 5,68 ± 2,34, SR: 6,71 ± 2,18, p < 0,001) festgestellt werden (Abb. 9; s. Bildergalerie).

Tabelle 3: Statistischer Vergleich (Wilcoxon-Test) der Wellenfrontmessungen  (Eye Refract (VX160) bzw. DNEye Scanner 2) mit der subjektiven Refraktionsbestimmung (SR).

 

© Julia Hoffmann

Diskussion: Vergleich zwischen AB und SR

Die Ergebnisse der vorliegenden Arbeit sind vergleichbar mit denen der Studie von Carracedo et al. (2018). [4] In dieser wurde selbiger Algorithmus des Eye Refract (VX160) analysiert. Ein wesentlicher Unterschied wird jedoch bei der Korrelation der binokularen Visuswerte ersichtlich, der in der vorliegenden Arbeit lediglich moderat ausfiel. Aufgrund der nahezu gleich ermittelten Korrektionswerte von AB und SR war eine starke Korrelation erwartet worden.

Als Ursache hierfür muss das Nichteinhalten des Abbruchkriteriums zur Feststellung des Visus in Betracht gezogen werden. Als Abbruchkriterium mussten die Teilnehmer zwingend fünf Buchstaben nennen und erst bei ≥ drei falsch erkannten Optotypen wurde die größere Visuszeile notiert. Aufgrund der Verweigerung mancher Teilnehmer, Optotypen auch bei Nichterkennen zu benennen, wurde die Visuszeile gewählt an der ≥ drei Optotypen gelesen wurden und nach eigener Aussage keine kleineren Optotypen erkannt werden konnten. Zur Verbesserung der Visusbestimmung hätte an dieser Stelle der Freiburger Visustest (FrACT) beigetragen. [5] In der Studie von Carracedo wurde das Abbruchkriterium der erreichten Visuszeile nicht näher erläutert und somit können keine näheren Vergleiche diskutiert werden. In diesem Zusammenhang konnte Michael Bach (2016) zeigen, dass durch eine Feedback-Funktion im Freiburger Visustest (FrACT) (Optotype richtig oder falsch erkannt) zwar keine Visussteigerung, allerdings eine Steigerung des Testkomforts und damit der Motivation erreicht werden konnte. Dieser neuartige Ansatz hätte möglicherweise zur Einhaltung des gewünschten Abbruchkriteriums innerhalb dieser Studie führen können. [6]

Weitere Arbeiten, die den Fokus in den Vergleich automatisierter und konventioneller subjektiver Refraktion setzten, dienten zur Gegenüberstellung. In den Studien von Sheedy et al. (2004) und Dave et al. (2004) wurde implizit das Gerät Topcon BV-1000 evaluiert. [7,8] Dieses ermöglicht eine konventionelle Autorefraktion mit anschließender automatisierter subjektiver Refraktion. Die Analysen zeigten, dass die automatisiert bestimmten Korrektionswerte eine klinisch akzeptable Reproduzierbarkeit und Validität aufwiesen. Die Methodik wurde mit Hilfe der Variablen SE, J0, J45 und des Visus bewertet. Der Visus konnte, wie auch in vorliegender Arbeit, mit der konventionellen Refraktion signifikant gesteigert werden. Zusammenfassend wurden allerdings ebenfalls vergleichbare Ergebnisse festgestellt.

In der vorliegenden Arbeit wurden die SE-Ergebnisse zusätzlich in differenzierten Fehlsichtigkeitsgruppen betrachtet. Es wurde ersichtlich, dass es bei Emmetropen und Hyperopen zu signifikanten Abweichungen kam. Jedoch können die gemessenen Abweichungen (< 0,25 dpt) als klinisch nicht relevant eingestuft werden, da diese innerhalb der Reproduzierbarkeit (0,50 dpt) subjektiver Augenglasbestimmungen liegt. [9,10] Der Unterschied zwischen den separat analysierten Gruppen könnte möglicherweise mit der Darbietung zu großer Optotypen im AB-Modus zusammenhängen. Während des algorithmusbasierten Verfahrens wurde standardmäßig die 1,0-Visuszeile dargeboten, was bei Teilnehmern mit wesentlich besserem Visus zu falschen Ergebnissen führen könnte. Grundsätzlich kann bei steigender negativer Korrektion aufgrund des Effekts der Netzhautbildverkleinerung von einem geringeren Visus ausgegangen werden. [11] Es sind keine vergleichbaren Studien der algorithmusbasierten subjektiven Refraktion bekannt, die ebenfalls den Aspekt der Fehlsichtigkeit berücksichtigen.

Grundsätzlich lassen sich die automatisierten Methoden der einzelnen Studien nur bedingt vergleichen, da unterschiedliche Algorithmen angewandt wurden. Weitere Studien, die insbesondere den Algorithmus des Eye Refract (VX160) analysieren, sind nicht bekannt.

Vergleich zwischen objektiven Refraktionen VX160, DNEye Scanner 2 und konventioneller subjektiver Refraktion

In der Studie von Wan et al. (2012) wurden die objektiven Refraktionsergebnisse eines monokularen, frontgeschlossenen mit einem binokularen, frontgeöffneten Autorefraktometer verglichen, der den Blick in die Ferne ermöglicht. [12] Um die Wirkung der Akkommodation auf die Differenz zu untersuchen, wurden die Messungen mit und ohne Zykloplegie durchgeführt. Bei den Ergebnissen des frontgeöffneten Geräts, im nicht zykloplegen Zustand, wurde eine signifikante Differenz von 0,12 dpt („mehr positiv“) des sphärischen Äquivalents festgestellt, die sich auf - 0,08 dpt („mehr negativ“) in Zykloplegie reduzierte. Bei Betrachtung der Messwerte des jeweiligen Geräts mit und ohne Zykloplegie wurde ein deutlich größerer Unterschied bei dem frontgeschlossenen Autorefraktometer ersichtlich. Die genannten Resultate stimmen, hinsichtlich des nicht klinisch relevanten Unterschieds, überein und zeigen darüber hinaus bei frontgeöffneten Geräten deutlich weniger erzeugte Akkommodation.

In vorliegender Studie wurde ebenfalls ein negativeres Ergebnis mittels DNEye Scanner 2 im Vergleich zur Wellenfrontmessung des Eye Refract (VX160) gemessen. Diese Tatsache kann allerdings nicht auf einsetzende Akkommodation zurückgeführt werden, da beide Wellenfrontmessungen im Vergleich zur subjektiven Refraktion positiver bestimmt wurden. Zu negativ ermittelte Werte im SR-Modus können aufgrund der gewählten Methodik (Auswahl der am positivsten möglichen Korrektionsstärke) ausgeschlossen werden.

Die Studie von Mallen et al. (2001) zeigte den Vergleich eines ähnlichen frontgeöffneten Autorefraktometers mit der konventionellen subjektiven Refraktion auf. [13] Die Analyse zeigte ebenfalls einen positiveren Trend der SE-Ergebnisse im Vergleich zu den subjektiv ermittelten Werten. Die Differenz von 0,16 dpt fiel allerdings bei Mallen et al. deutlich geringer aus als in vorliegender Arbeit. Die Studie von Bennett et al. (2015) verglich ein frontgeschlossenes Wellenfrontaberrometer mit einem konventionellen Autorefraktometer und der subjektiven Refraktion. Hierbei konnten ebenfalls keine klinisch relevanten Unterschiede von SE und eine starke Korrelation festgestellt werden. [14]

Schlussfolgerung

In der vorliegenden Studie wurden Differenzen hinsichtlich des erzielten Visus, der Untersuchungszeit sowie der visuellen Zufriedenheit zwischen AB und SR nachgewiesen. Aufgrund der Tatsache, dass die algorithmusbasierte subjektive Refraktion als Eingangsvariable die Wellenfrontmessung benötigt, wurde zusätzlich der Unterschied der objektiven Messung zwischen Eye Refract (VX160) und DNEye Scanner 2 analysiert. Beim Vergleich zwischen den beiden Wellenfrontmessungen werden die Differenzen von SE und J45 als signifikant, aber als klinisch nicht relevant bewertet (< 0,25 dpt). Im Vergleich zur konventionellen subjektiven Refraktion fielen die objektiv gemessenen SE-Werte des Eye Refract klinisch relevant zu positiv auf. Möglicherweise sind die deutlich zu positiv gemessenen Werte vom Hersteller gewünscht, um beim Start der algorithmusbasierten Refraktion durch leichte Nebelung Akkommodation zu vermeiden. Dies ist allerdings nur eine Vermutung und wurde vom Hersteller nicht bestätigt.

Die algorithmusbasierte subjektive Refraktion kann durchaus als reale Konkurrenz zur konventionellen subjektiven Refraktion gesehen werden. Durch die enorme Zeitersparnis können neben Augenärzten auch Augenoptiker und Optometristen von der Methodik profitieren. Zusätzlich erfordert die Anwendung des Eye Refract aufgrund der einfach gehaltenen Fragestellungen nur eingeschränktes Fachwissen. Da Zufriedenheit und erreichter Visus mit der konventionellen subjektiven Refraktion trotz alledem leicht positiver ausfallen, ist eine Optimierung der algorithmusbasierten Methode notwendig.

Erklärung bzgl. evtl. Interessenskonflikte: Julia Hoffmann gibt an, dass kein Interessenskonflikt besteht. Anne Seidemann und Yohann Bénard sind Mitarbeiter der Firma Rodenstock GmbH, die den DNEyeScanner 2 vertreibt. Werner Eisenbarth ist freiberuflich als Dozent für die Rodenstock-Akademie der Firma Rodenstock GmbH tätig.

Zum Literaturverzeichnis

Julia Hoffmann ist seit 2015 staatlich geprüfte Augenoptikermeisterin. Anschließend absolvierte sie den Bachelor of Science in Optometrie an der Hochschule München. Durch ihre beruflichen Tätigkeiten konnte  Hoffmann mehr als zehn Jahre  wertvolle praktische Erfahrungen  im Bereich der Augenoptik und Optometrie sammeln. Derzeit absolviere sie den Master of Science in Photonik an der Hochschule München, den sie voraussichtlich 2021 abschließen wird.

Professor Dr. rer. biol. hum. Werner Eisenbarth ist Professor für Physiologie des Sehens und Leiter des Zentrums  für angewandte Sehforschung  an der Hochschule München  (www.zefas.de). Er ist Mitglied im Board der European Society of  Low Vision Research and Rehabilitation, der Deutschen Ophthalmologischen Gesellschaft (DOG) und der Association for Research in Vision and  Ophthalmology (ARVO).

Dr. Anne Seidemann studierte Biologie und promovierte in der Myopieforschung. Sie arbeitet seit 2003 als  Physiologin bei Rodenstock und ist Senior Manager der Research Optics.

 

 

 

Dr. Yohann Bénard studierte Optometrie und promovierte über den Einfluss von Aberrationen auf das Sehen. Seit 2012 arbeitet er in der Research Optics bei Rodenstock als Physiologe.

Geschrieben von

DOZ Redaktion

Redaktion

Unser Redaktionsteam ist das Gesicht des DOZ-Verlags – nah an der Branche, kritisch im Blick, präzise in der Recherche. Mit fachlicher Tiefe, journalistischem Anspruch und einem echten Gespür für relevante Themen.

Zum Autorenprofil