Studie: Schmerzen bei formstabilen Kontaktlinsen

Abb. 3: Über die Frontfläche eintretendes Licht führt durch Totalreflexion zur Illumination des Randes. Ein Teil des dort entstehenden Streulichts strahlt in Richtung Auge und beeinflusst das foveale und periphere Sehen.

Bei der Anpassung von formstabilen Kontaktlinsen (RGP KL) lassen sich individuelle Unterschiede in Bezug auf die Empfindlichkeitswahrnehmung feststellen. Einige Personen gewöhnen sich problemlos an sie, andere nur langsam oder gar nicht. Diese Situation ist für den verantwortlichen Anpasser und den potentiellen Kontaktlinsenträger unbefriedigend, da trotz guter technischer Voraussetzungen für die Anpassung die individuellen Unterschiede im Adaptationsprozess nicht messbar beziehungsweise vorhersehbar sind. Auch ist unklar, welches Gewebe am vorderen Augenabschnitt für die Adaptationsprobleme vorrangig verantwortlich ist.

Bisherige Studien haben die Cornea [1,2] und den Lidwiper am Lidrand [3,4] als die empfindlichsten Bereiche des vorderen Augenabschnitts aufgezeigt. Eine Reihe von klinischen Studien zeigten eine Herabsetzung der Empfindlichkeit der Cornea, der bulbären sowie tarsalen Conjunctiva, wie auch des Lidrands durch das Tragen von RGP KL, was auf eine sensorische Adaptation zurückgeführt wird. [5-10] Es gibt Grund zu den Annahmen, dass das Lidranddesign für den Tragekomfort von Kontaktlinsen mitverantwortlich ist und dass die persönliche Einstellung sowie eine realistische und positive Gesprächsführung während der Anpassung den Anpasserfolg von RGP KL begünstigen. [10,11]

Der standardisierte allgemeine Schmerzempfindlichkeits-Fragebogen (Pain Sensitivity Questionnaire; PSQ) erfasst die individuelle allgemeine Schmerzempfindlichkeit eines Individuums im Rahmen eines Selbstbewertungsbogens. [12] Er enthält 17 mögliche schmerzhafte Situationen des alltäglichen Lebens, die Probanden nach ihrer Schmerzhaftigkeit einstufen sollen (z. B. „Stellen Sie sich vor, Sie tragen Sandalen und jemand tritt Ihnen mit einem schweren Schuh auf den Fuß“). Es handelt sich um einen leicht anwendbaren, validierten Fragebogen, welcher sich durch seine hohe Test-Retest-Reliabilität auszeichnet. [12] In einer klinischen Studie konnte ein unabhängiger, statistisch signifikanter Einfluss des PSQ Score auf die subjektive Beurteilung der Empfindung des Trockenen Auges und dessen Diskomfort beim Kontaktlinsentragen gezeigt werden. [ 13] Dies bedeutet, dass der PSQ möglicherweise einen relevanten Hinweis für die individuell wahrgenommene Empfindlichkeit der Augenoberfläche geben könnte und somit dessen Anwendung aufschlussreich für die Problemstellung dieser Studie sein könnte. Es ergibt sich die Frage, ob eventuell der PSQ sogar eine Prognose für den spontanen Tragekomfort von RGP KL liefern könnte.

In der vorliegenden prospektiven, klinischen Längsschnittstudie wurden die Zusammenhänge zwischen dem spontanen subjektiven Tragekomfort von RGP KL und der Baseline Lidrandempfindlichkeit sowie dem PSQ Score untersucht. Gibt es physiologische Unterschiede zwischen denjenigen Personen mit gutem spontanem RGP KL Tragekomfort und solchen, bei denen er nicht so gut ausfällt? Ist eine Prognose für den spontanen subjektiven Tragekomfort von RGP KL möglich?

Material und Methoden

Diese Studie wurde am Institut für Optometrie in Olten unter Genehmigung der Ethikkommission Schweiz (Swissethics) durchgeführt und bestand aus zwei Messterminen pro Testperson. 34 Testpersonen wurden aus dem Patienten- und Studentenpool des Instituts für Optometrie (FHNW, CH-Olten) rekrutiert, wobei die Geschlechter gleich verteilt waren. Alle Testpersonen wurden ausführlich über die Inhalte der Studie informiert, bevor sie eine Einverständniserklärung unterzeichneten. Das Alter der Testpersonen war auf 18 bis 40 Jahre beschränkt, da die Empfindlichkeit der Augenoberfläche sich mit fortschreitendem Alter herabsetzt. Folgende Ausschlusskriterien wurden festgelegt: vorheriges Kontaktlinsentragen, Trockene Augen, okuläre Entzündungen oder Infektionen, Lidwiperepitheliopathie, [14-17] zentrale Hornhautradien von = 7,00 und = 8,50 mm, eine zentrale corneale Radiendifferenz von = 0,40 mm und eine corneale Exzentrizität von = 0,80 mm. Die Stichprobengröße wurde mithilfe des frei zugänglichen Programms G-Power und der A-Priori-Analyse ermittelt. Für die Berechnung wurden klinisch erprobte und bewährte Werte der Power (1-ß) von 0,8, des Signifikanzniveaus (a) von 0,05 und die Resultate einer im Vorfeld durchgeführten Pilotstudie mit n = 8 herangezogen. Mithilfe der Daten der Pilotstudie konnte der Spearman-Rangkorrelationstest durchgeführt werden, der eine hohe Bindung (? = -0,9452301) der beiden Parameter Lidrandsensibilität und Feedbackfragebogen zeigte. Mit einer daraufhin noch höher festgelegten Effektgröße von ? = 0,4 ergab sich eine Stichprobengröße von 34 Probanden.

Cochet Bonnet Aesthesiometers

Beim ersten Messtermin wurde zunächst die allgemeine Schmerzempfindlichkeitseinschätzung aller Testpersonen durch den PSQ ermittelt. Nach einer Untersuchung des vorderen Augenabschnitts auf relevante Auffälligkeiten mithilfe des Spaltlampenmikroskops wurde die Lidrandsensibilität des Ober- und Unterlids jeweils am Lidwiper mithilfe des Cochet-Bonnet-Aesthesiometers (Fadendurchmesser 0,12 mm) gemessen. Seine Funktionsweise basiert auf dem von Von Frey 1794 entwickelten Konzept und generiert einen taktilen mechanischen Stimulus mithilfe eines 6cm langen Nylonfadens, wobei dessen Stärke durch die Länge des am Auge applizierten Fadens reguliert wird: je kürzer der Faden, desto intensiver die Stimulation. [18] Vor Beginn der Studie wurde das Cochet-Bonnet-Aesthesiometer mithilfe einer digitalen Mikrowaage (AB54-S, Mettler Toledo, CH-Greifensee; Präzision ± 1 µg, Wiederholbarkeit ± 0,1 mg / 0,1 mg) kalibriert: Der Nylonfaden wurde vertikal oberhalb der Waage positioniert und an die Oberfläche herangeführt, bis sich der Faden um fünf Grad beugte. Der Mittelwert von fünf Messungen wurde verwendet und in Kraft (mN) umgewandelt (Abb. 1).
Für die Messung der Lidrandempfindlichkeit wurden Ober- und Unterlid jeweils ektropioniert, wobei der Faden im 90-Grad- Winkel an den Lidwiper herangeführt wurde. Als Schwellenwert wurde die Fadenlänge notiert, anhand welcher die Testperson mindestens zwei von vier Stimuli wahrnehmen konnte. Zum Abschluss der ersten Sitzung wurde mithilfe des Videotopographen (Keragraph 5M, Oculus Optikgeräte GmbH, Wetzlar) die Hornhautopographie vermessen, um individuell gerechnete Rückflächengeometrien von RGP KL (TOPO2, Prolens AG, CH-Zürich) mit Hilfe einer Fluoreszeinsimulation (Apex Programm Version 1.2.0.7 – 2014, Hecht Contactlinsen, Au) – unter Berücksichtigung der Zentralradien und jeweiligen Exzentritätswerte bei 30 Grad nach dem Prinzip der Parallelanpassung zu bestimmen: Im zentralen Bereich der KL wurde eine parallele Auflage mit einer dünnen Fluoreszeinschicht von circa 15 µm zwischen der KL-Rückfläche und Hornhaut angestrebt (Profilverlauf in einer zusätzlichen Grafik der Simulation erkennbar). In der Mittelperipherie wurde eine Überbrückung (Kokarde) erwartet, wie es bei dem hier verwendeten mehrkurvigen Rückflächendesign üblich ist. In der Peripherie sollte wieder ein paralleler Verlauf, und am Rand eine ausreichende Randabhebung für einen guten Tränenfilmaustausch erkennbar sein.

Beim zweiten Messtermin wurde die Messung der Lidrandsensibilität des Ober- sowie des Unterlides wiederholt und anschließend die zuvor bestimmten RGP KL auf die Augen appliziert. Nach einer Tragedauer von 30 Minuten wurde das Sitzverhalten der Kontaktlinsen auf statische und dynamische Weise unter Verwendung einer Gradierungsskala beurteilt und digital (durch Videoaufnahme) dokumentiert: [19] Je besser das KL Sitzverhalten, desto niedriger fiel der Zahlenwert aus. Dabei wurde jeder Linsenquadrant im zentralen, mittelperipheren und peripheren Bereichen separat anhand eines Zahlenwertes von -5 bis +5 beurteilt, wobei der Grad -5 einen maximal starken Druck und +5 einen maximal exzessiven Pool beschrieb. Zusätzlich wurde die Zentrierung der KL auf einer Skala von 0 bis 5 beurteilt (0 = perfekt zentriert bei Blick geradeaus, 5 = sehr stark dezentrierte KL, welche bei einem Lidschlag oder Blickbewegungen von der Cornea rutscht. Nach Bewertung wurden die Punkte (ohne Berücksichtigung der Vorzeichen) summiert, wobei die Summe für alle einzelnen Bereiche zusammen (zentral, mittelperipher und peripher) einen Wert von 5 nicht übersteigen durfte und die Zentrierung mit nicht mehr als Grad 2 (leicht dezentriert, mit moderater Dezentrierung bei Blickwechsel) bewertet werden durfte, damit eine Testperson von der Auswertung nicht ausgeschlossen werden musste.

Nach genau 40 Minuten wurden die formstabilen Kontaktlinsen abgesetzt, woraufhin sofort die Lidrandsensibilitätsmessung wiederholt wurde. Abschließend bewerteten die Testpersonen den Tragekomfort der RGP KL anhand eines Beurteilungsfragebogens. In die Auswertung der Studie flossen nur die Daten der Testpersonen ein, die die vorgegebenen Ein- und Ausschlusskriterien erfüllten und bei denen alle Messungen erfolgreich durchgeführt werden konnten. Um einen systematischen Messfehler zu vermeiden, wurden alle vorgenommenen klinischen Messungen durch dieselbe Prüfperson durchgeführt, die Fragebögen wurden jedoch durch eine andere Prüfperson verwaltet, um einen möglichen Einfluss der Kenntnisnahme der Fragebogen-Scores auf die Messungen vermeiden zu können.

Zur Datenauswertung wurde das Statistikprogramm R Commander (Version 3.0.1) herangezogen. Das Signifikanzniveau wurde mit p = 0,05 definiert. Der Shapiro-Wilk-Test wurde zur Prüfung auf Normalverteilung der ermittelten Datensätze angewendet. Es resultierte ein p-Wert, der höher als das festgelegte Signifikanzniveau war, sodass die vorliegenden Daten als normalverteilt angesehen und für weitere Auswertungen folgende parametrische Tests herangezogen werden konnten: der gepaarte t-Test für die Überprüfung der Wiederholbarkeit der Baseline Sensibilitätsmessungen an den Lidrändern und deren Unterschied vor und nach dem Tragen der RGP KL sowie der Pearson-Test für die Untersuchung der Korrelationen zwischen Fragebögen und Sensibilitätsmessungen an den Lidrändern. Für eine bessere Veranschaulichung der Ergebnisse wurden zusätzlich Streudiagramme und Boxplots erstellt.

Ergebnisse

Ergebnisse

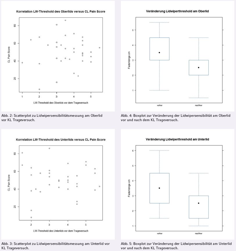
Bei der ausgeglichenen geschlechtlichen Verteilung von 17 Frauen und 17 Männern betrug das Durchschnittsalter 23,85 +/- 5,39 Jahre. (Tabelle1 – Deskriptive Statistik) Eine gute Wiederholbarkeit der Baseline Sensibilitätsmessungen an den Lidrändern konnte festgestellt werden (p = 0,9805 für das Oberlid; p = 0,2356 für das Unterlid). Eine Korrelation zwischen der eingangs gemessenen Lidrandsensibilität und des subjektiv empfundenen Tragekomforts der RGP KL konnte nicht festgestellt werden (r = 0,013, p = 0,9417, Oberlid; r = 0,016, p = 0,9277, Unterlid, Abb. 2 und 3). Nach dem Aussetzen der RGP KL konnte eine verminderte Lidrandsensibilität am Ober- und Unterlid festgestellt werden (p = 0,0004, Oberlid; p = 0,0001, Unterlid, Abb. 4 und 5).

Scatterplots

Eine hohe Korrelation konnte zwischen dem PSQ Score und dem spontan empfundenen Tragekomfort der RGP KL beobachtet werden (r = 0,62; p = 0,0007). (Abb. 8) Dies suggeriert, dass die Anwendung des PSQ für eine Prognose im Hinblick auf den spontan empfundenen subjektiven Komfort von kurzzeitig getragenen RGP KL hilfreich ist.
Um die Aussagekraft des PSQ1 weiter zu durchleuchten, wurde dieser mit der zweiten Zusatzfrage („Könnten Sie sich vorstellen formstabile Kontaktlinsen zu tragen, wenn Sie ein Korrektionsmittel für eine bessere Sehleistung benötigen würden?“) des Fragebogens zum Tragekomfort der RGP KL ins Verhältnis gesetzt. Mit einer Korrelation von r = 0,82 und p = <0,0001 wurde der subjektiven Beurteilung zum Kontaktlinsentragen (CL Pain Score) eine hohe Glaubwürdigkeit attestiert. (Abb. 9)
Nach Abschluss der Messungen und der Datenauswertung wurde eine zusätzliche Post-Hoc-Analyse durchgeführt, um die erreichte Power zu ermitteln. Mit Hilfe des Programms G-Power und der vorhandenen Werte (Signifikanzniveaus a = 0,05, der Probandenanzahl (n = 34) und der Effektgröße (r = 0,62) ergab sich eine Power (1-ß) von 0,998, was einen sehr guten und aussagekräftigen Wert darstellt.

Scatterplots

Diskussion

Im Rahmen dieser klinischen Studie sollte untersucht werden, welchen Einfluss die Lidrandempfindlichkeit auf den subjektiven spontanen Tragekomfort von RGP KL hat. Weiter sollte untersucht werden, ob hierbei die allgemeine Schmerzempfindlichkeit eine Rolle spielen könnte und möglicherweise bei der Prognose für den spontanen subjektiven RGP KL Tragekomfort hilfreich sein könnte.

Die Ergebnisse dieser Studie zeigen, dass die Lidrandsensibilität schon nach einem kurzzeitigen Trageintervall (40 Minuten) sinkt. Auf die gleichmäßige Reizung des Lidwipers bei jedem Lidschlag erfolgte vermutlich eine unmittelbare sensorische Adaptation der Lidrandempfindlichkeit, infolge einer kontinuierlichen Stimulierung der Mechanonozizeptoren und der polymodalen Nozizeptoren an der Augenoberfläche. Eine corneale sensorische Adaptation konnte bei erfolgreichen RGP KL Trägern nachgewiesen werden. [5-8, 20-23] Nur wenige Studien untersuchten die Lidrandempfindlichkeit im Zusammenhang mit RGP KL, die ebenfalls eine Herabsetzung beobachteten – mit der Einschränkung, dass zwei Testpersonen in der Studie von Lowther und Hill eine Hypersensitivität des Lidrandes entwickelten. [9,10] Der in der vorliegenden Studie beobachtete Sensibilitätsunterschied vor und nach dem RGP KL Trageversuch ließ allerdings keinen Rückschluss auf den spontanen Tragekomfort mit den KL zu (r = -0,004 für das Oberlid; r = 0,15 für das Unterlid).

Allerdings erlaubt eine Lidrandempfindlichkeitsmessung vor der Anpassung der RGP KL - gemäß den Ergebnissen dieser Studie – keine Prognose über den spontanen subjektiven Tragekomfort von RGP KL. Dies lässt vermuten, dass die Empfindlichkeit des Lidrands kein wichtiger Indikator oder ein untergeordneter Faktor für den spontanen subjektiven Tragekomfort von RGP KL ist, und dass andere Gewebe des vorderen Augenabschnitts, wie beispielsweise die Cornea und / oder die bulbäre Conjunctiva, für die Empfindung des spontanen Trage(dis)komforts maßgeblich sein könnten. Die Cornea steht in ständigem Kontakt mit der RGP KL und weist die im Körper höchste sensible Innervation auf. [1,2] Möglicherweise aber spielt die Lidrandempfindlichkeit erst bei längerem KL Tragen (nach mehreren Wochen, Monaten oder gar Jahren) eine nennenswerte Rolle? Eine Studie konnte bei KL Aussteigern (aufgrund von KL Diskomfort) eine höhere Empfindlichkeit der bulbären und tarsalen Conjunctiva, sowie der peripheren Cornea, gegenüber Nicht-KL Trägern feststellen. [24] Dieses Ergebnis lässt die Vermutung zu, dass es vielleicht doch einen physiologischen Unterschied zwischen erfolgreichen beziehungsweise Nicht-KL Trägern und nicht-erfolgreichen KL Trägern gibt.

Für die Bewertung eines möglichen Zusammenhangs zwischen der subjektiven allgemeinen Schmerzwahrnehmung und dem subjektiven RGP KL Tragekomforts wurde in der vorliegenden Studie der standardisierte PSQ verwendet. Beim PSQ handelt es sich um einen Fragebogen über die persönliche Schmerzwahrnehmung bei alltäglichen Schmerzerlebnissen. Im klinischen Bereich, insbesondere in Schmerzkliniken, wird heute anhand von Schmerzfragebögen die individuelle Schmerzwahrnehmung, die von Patient zu Patient sehr unterschiedlich sein kann, bestimmt, was den weiteren Therapieverlauf individuell beeinflusst und kontrolliert. Da die Wahrnehmung von Schmerz sehr komplex durch somatische, psychische und soziale Faktorenbeeinflusst wird, muss die individuelle Schmerzwahrnehmung eines jeden Patienten berücksichtigt werden. [25]
Bisher wurde erst eine Studie publiziert, die unter Einsatz des PSQ einen Zusammenhang zwischen allgemeiner Schmerzempfindlichkeit und Empfindung des Trockenen Auges sowie dessen Diskomfort beim Kontaktlinsentragen zeigen konnte. [13] In der vorliegenden Studie konnte eine hohe Korrelation zwischen dem PSQ und dem subjektiven spontanen RGP KL Tragekomfort beobachtet werden. Dies lässt vermuten, dass die Anwendung des PSQ möglicherweise eine Prognose für den spontanen Tragekomfort von RGP KL zulassen könnte. Allerdings sind weitere Studien mit länger andauernden Trageversuchen notwendig, um eine Aussage über die Voraussagbarkeit für den Trageerfolg von RGP KL basierend auf dem PSQ machen zu können.

In jedem Fall sollte aber ein Fragebogen über die allgemeine Schmerzempfindlichkeit nicht als Ein- oder Ausschlusskriterium für eine RGP KL Anpassung verstanden werden. Bei der Kontaktlinsenanpassung muss zusätzlich berücksichtigt werden, dass der potentielle, zukünftige Kontaktlinsenträger diesen anfänglichen „Schmerz“ meist aus freien Stücken auf sich nimmt, da er aus verschiedensten Gründen gerne Kontaktlinsen tragen möchte. Inwiefern die psychische Haltung in die Schmerzwahrnehmung eingreift und diese beeinflusst, ist noch nicht genau erforscht, jedoch darf die positive Grundeinstellung des Patienten mit dem Willen, zukünftig Kontaktlinsen zu tragen, keine Brille mehr tragen zu müssen oder in manchen Fällen sogar eine bessere Sehleistung im Vergleich zur Brillenkorrektur erreichen zu können, nicht vernachlässigt werden.
Weiter muss berücksichtigt werden, dass die Schmerzempfindlichkeit durch zahlreiche Faktoren beeinflusst werden kann. Dabei spielen soziodemographische Einflüsse, wie Alter und Geschlecht, und biographische Faktoren, wie chronische Schmerzsyndrome, oder der Einfluss externer Faktoren, wie Schmerzreize durch Traumata, eine bedeutsame Rolle. Die Untersuchungen implizieren höhere Schmerzempfindlichkeit bei Frauen, doch insgesamt stellen sich die Ergebnisse uneinheitlich dar. [26] Unterschiede sind durch verschiedene soziale und psychologische Faktoren und die Geschlechterrollen in der Gesellschaft als solches beeinflusst. Hinzu kommen Einflüsse der Geschlechtshormone und der endogenen Schmerzhemmung. [26] Darüber hinaus ergeben viele Untersuchungen altersabhängige Veränderungen in der Schmerzempfindlichkeit. Bezüglich postoperativer Schmerzen sinkt die berichtete Schmerzstärke ab dem 60. Lebensjahr um etwa zehn bis 20 Prozent pro Jahrzehnt. [27,28] In experimentellen Schmerzuntersuchungen haben ältere Menschen erhöhte Schmerzschwellen, jedoch eine geringere Schmerztoleranz. [27,29] Auch kann eine Schmerz-Vorerfahrung eine Reduktion der Schmerzempfindlichkeit zur Folge haben. [30]

In Bezug auf die mögliche Unterstützung bei der Kontaktlinsenanpassung mittels Lidrandempfindlichkeitsmessung oder Schmerzfragebogen wurden bisher keine vergleichbaren Studien veröffentlicht. Daher ist die vorliegende Arbeit ein erster Schritt, diese Fragestellung zu klären. Es steht außer Frage, dass weitere, großangelegte Studien notwendig sind, insbesondere solche, die den KL Tragekomfort während der gesamten KL Eingewöhnungsphase mitverfolgen.

Fazit

Die in der vorliegenden Studie vorgenommenen Lidrandsensibilitätsmessungen lassen keine Rückschlüsse auf den spontanen subjektiven Tragekomfort von RGP KL zu. Unabhängig von der subjektiven Wahrnehmung konnte an den untersuchten Testpersonen bereits nach 40-minütiger Tragezeit von RGP KL eine statistisch signifikante Herabsetzung der Lidrandempfindlichkeit am Ober- sowie Unterlid festgestellt werden, was für eine rasche sensorische Adaptation spricht.
Eine hohe Korrelation zwischen dem PSQ und dem subjektiven spontanen RGP KL Tragekomfort konnte beobachtet werden. Dies lässt vermuten, dass die Anwendung des PSQ möglicherweise einer Prognose für den spontanen Tragekomfort von RGP KL dienen kann.

Das Literaturverzeichnis finden Sie unter Service/Downloads.

Autoren:

Dominik Müller, BSc EurOptom 1,2
Stefanie Marina Matt, BSc EurOptom 1,3
Daniela S. Nosch, PhD MSc MCOptom DipTP (AS), FBCLA FEAOO 1

¹ Institut für Optometrie, Fachhochschule für Technik
(FHNW), Olten, Schweiz
² Büchi Optik Affoltern GmbH, Alte Dorfstrasse 21,
CH-8910 Affoltern am Albi
³ Brillen-Trotter AG, Bahnhofstrasse 55, CH-5001 Aarau

Geschrieben von

DOZ Redaktion

Redaktion

Unser Redaktionsteam ist das Gesicht des DOZ-Verlags – nah an der Branche, kritisch im Blick, präzise in der Recherche. Mit fachlicher Tiefe, journalistischem Anspruch und einem echten Gespür für relevante Themen.

Zum Autorenprofil