AO goes digital

Digitalisierung ist einer der bestimmenden Megatrends, nicht nur in unserer Branche sondern für die Zukunft der gesamten Gesellschaft. Die Digitalisierung verändert die Art, wie wir kommunizieren, wie wir produzieren, wie wir messen, wie wir Konzepte entwickeln, wie wir unsere Geschäfte strukturieren und ausrichten – kein Bereich bleibt da außen vor. Das Tempo dieser Veränderungsprozesse ist atemberaubend und nimmt noch laufend zu. Kein Wunder also, dass Kolleginnen und Kollegen aus der Branche häufig Befürchtungen und Unsicherheiten äußern, wenn es um die Zukunft der Augenoptik geht.

Man kann dieses aber auch als Chance betrachten. Wir leben und arbeiten in einer Zeit, in der jeder die Möglichkeit hat, die Veränderungsprozesse kreativ mit zu gestalten und so den Weg in die Zukunft mit zu entwickeln. Gerade die Hochschulen sehen sich hier in der Pflicht, neue digitale Wege zu beschreiten, um dem wissenschaftlichen Nachwuchs das nötige Know-how mit auf den Weg zu geben.

Der Studiengang Augenoptik/Optometrie der Hochschule Aalen hat hierzu zwei neue Smartphone-Applikationen entwickelt, die jetzt vorgestellt werden. Die erste App ist ein Berechnungs-Tool für augenoptische Problemstellungen; die zweite ist ein neuer Informationskanal des Studiengangs.

Aalener Optik-Formelrechner

Der Aalener Optik-Formelrechner wurde im Rahmen einer Bachelorarbeit an der Hochschule in Aalen entwickelt. [1] Diese App behandelt eine Auswahl komplexer technisch-optischer und augenoptischer Problemstellungen, wie sie im Rahmen des Studiums oder bei der Arbeit im Labor gelöst werden müssen. Der Speicherumfang herkömmlicher Taschenrechner reicht hierfür meist nicht aus, oder die Berechnungen sind zu umfangreich (und damit fehlerträchtig) für den Taschenrechner. Die App wird derzeit bereits als Plattform für interaktive Vorlesungen verwendet und dient den Studenten ebenfalls zur Ergebniskontrolle gelöster Aufgaben.

Die App wurde in der Programmiersprache Java geschrieben, als Entwicklungsumgebung kam das kostenlose Android Studio von Google zum Einsatz. [2, 3] Dank zahlreicher Informationen und Anleitungen aus dem Internet bietet sich auch Einsteigern die Chance, sich mit der App-Entwicklung vertraut zu machen. Eine gute und verständliche Einführung findet sich zum Beispiel in "Einführung in die Entwicklung von Android-Apps" von B. Baltes-Götz. [4] Die App ist für alle Android-Geräte mit einer Version 4.0.3 und höher kostenlos über den Google Play Store („Aalener Optik-Formelrechner“) verfügbar. Die aktuelle Version 1.02 umfasst das folgende Funktionsspektrum:

  • Paraxiales Raytracing
  • Exaktes Raytracing für ein Objekt auf der optischen Achse
  • Berechnung von schiefgekreuzten Zylindern mit optionalem sphärischen Anteil
  • Berechnung von Brechungsindices verschiedener Gläser nach der Schottgleichung
  • Berechnung der relativen Transmission
  • Ermittlung der Krümmungsradien für komafreie Gläser und minimale sphärische Aberration
  • Berechnung und grafische Darstellung von Refraktionsfehler, Astigmatismus und Verzeichnung sowie Volumen, Gewicht und Abmessungen von individuellen sphäro-torischen Brillengläsern

Diese Funktionen sollen im Folgenden vorgestellt werden.

Paraxiales Raytracing

Eines der ersten Themen im Studium ist die manuelle Berechnung des Verlaufes von paraxial einfallenden Lichtstrahlen, die durch optische Flächen mit unterschiedlichen Brechungsindices und Radien gebrochen werden. Je mehr Flächen vom Lichtstrahl durchlaufen werden, desto aufwändiger und zeitintensiver wird die Berechnung, und es können sich leicht Fehler einschleichen. Hier hilft das Teilprogramm Paraxiales Raytracing für bis zu tausend Flächen. Dafür werden lediglich die Anzahl der zu transmittierenden Flächen, die Brechungsindices, die Abstände zwischen den einzelnen Flächen und die Krümmungsradien benötigt sowie die Gegenstandsschnittweite.
Das Programm führt nach Eingabe aller erforderlichen Daten eigenständig die notwendigen Rechenschritte zur Berechnung der bildseitigen Schnittweite für die letzte Fläche durch. Dafür wird jeweils die Abbildungsgleichung (1) für Einzelflächen verwendet:

Abbildungsgleichung für Einzelflächen

Mit Hilfe der berechneten Bildweite lässt sich nun über eine Transfergleichung (2) die Objektweite der folgenden Fläche berechnen:

Transfergleichung

Die Berechnung wird bis zur letzten Fläche fortgeführt. Anschließend zeigt das Programm alle relevanten Daten und die Zwischenergebnisse an. Bei der Eingabe der Anzahl der Flächen kann man auch wählen, ob der Gegenstand unendlich fern sein soll. In diesem Fall berechnet das Programm die Brennweiten des Systems und die Lagen der Hauptpunkte, wie im Beispiel in der Abbildung 2 in der Bildergalerie gezeigt. Wählt man hingegen eine endliche Gegenstandsweite, so werden neben der Bildschnittweite noch die laterale, axiale und angulare Vergrößerung berechnet.

Exaktes Raytracing für ein Objekt auf der Achse

Das zweite Teilprogramm führt ein exaktes Raytracing für Achsenobjekte aus. Im Gegensatz zum ersten Teilprogramm können die Strahlen hierbei auch außerhalb des paraxialen Raumes verlaufen. Der Aufbau des Teilprogrammes ähnelt stark dem des paraxialen Raytracings. Benötigt wird als Eingabewert jedoch zusätzlich der Strahlneigungswinkel u1 für den vom Objektpunkt auf der Achse ausgehenden Lichtstrahl. Um die bildseitige Schnittweite S'm der Fläche Nr. m ermitteln zu können (5, 6) muss zunächst der Winkel εm des einfallenden Lichtstrahls zum Lot dieser Fläche (3) und daraus folgend der Winkel ε'm des ausfallenden Lichtstrahls zum Lot dieser Fläche (4) berechnet werden.

Exaktes Raytracing

 


Schief gekreuzte Zylinder

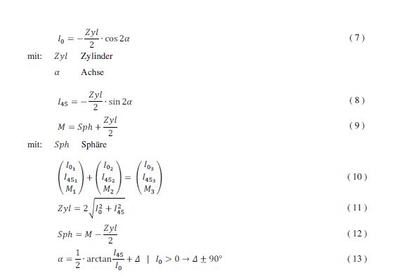
Ein weiteres Teilprogramm ermöglicht die Berechnung von schiefgekreuzten Zylindern. Dabei ist das Einlesen von negativen als auch positiven Zylinderwerten möglich. Intern werden zur Berechnung der Wirkung der Glaskombination die sphärozylindrischen Werte in Powervektoren umgewandelt, die drei Vektorkomponenten werden nach den Gleichungen (7 - 9) berechnet, diese werden aufaddiert (10) und abschließend wieder auf die dioptrischen Wirkungen (Sphäre, Zylinder) und die Achslage zurück transformiert (11 - 13).  

Berechnung schief gekreuzter Zylinder

Brechungsindex verschiedener Gläser

Die Berechnung von Brechungsindices nach der in älteren Ausgaben des Schott-Katalogs angegebenen Dispersionsformel („Schottgleichung“) ist an sich keine komplizierte Angelegenheit, da man lediglich die gewünschte Wellenlänge sowie die jeweiligen Glas-Konstanten A0 bis A5 in die Dispersionsformel (14) einsetzen muss. Leider ist diese Formel recht unhandlich, so dass eine automatisierte Berechnung wünschenswert ist. Deshalb wurde diese Berechnung als viertes Teilprogramm in die App aufgenommen. Die Parametern A0 bis A5 können zur Berechnung für beliebige Glasarten eingegeben werden. Darüber hinaus sind die Parameter für eine Auswahl häufig verwendeter Glasarten schon vorgespeichert. Die Berechnung kann für eine beliebige Wellenlänge erfolgen, häufig vorkommende Wellenlängen sind ebenfalls schon vorgespeichert. Abbildung 4 in der Bildergalerie zeigt das Layout des Teilprogramms.

Layout des Teilprogramms

 

Eine Erweiterung des Programms um die Berechnung nach der in neueren Ausgaben des Schott-Katalogs angegebenen Sellmeier-Dispersionsgleichung ist geplant und wird nach Fertigstellung automatisch über den Google-Playstore verteilt.

Relative Transmission

Auch die Berechnung der relativen Transmission für eine individuelle Anzahl optischer Flächen ist an sich nicht kompliziert, kann aber bei höherer Flächenanzahl zeitintensiv werden. Mit Hilfe des fünften Programmabschnittes lassen sich bis zu tausend Flächen berechnen und so neben der Kontrolle von manuellen Berechnungen auch Versuchsaufbauten planen, bei denen die Beleuchtungsstärke eine wichtige Rolle spielt. Für die Berechnung werden neben den Brechungsindices noch die Abstände der einzelnen Flächen zueinander sowie die Reintransmission der verwendeten Gläser benötigt. Zusätzlich lässt sich noch der Restreflex für entspiegelte Flächen angeben. Wird für eine Fläche der Restreflex nicht angegeben, so wird der Reflexionsgrad ρm der Fläche (hier Fläche Nr. m) anhand der Brechungsindices automatisch nach Gleichung (15) berechnet. Neben der resultierenden relativen Transmission durch alle Flächen werden ebenfalls die Zwischenergebnisse angezeigt.

Zwischenergebnisse

 

Die Transmission durch das Material Tm wird mit Hilfe der Reintransmission und dem Abstand zwischen den Flächen ermittelt (16):

 

Ermitteln der Transmission


Linse bester Form / komafreie Linse

Mit Hilfe dieses sechsten Teilprogrammes lassen sich die Radien und Formfaktoren von Linsen mit minimaler sphärischer Aberration oder Koma berechnen. In diesem Programmteil werden zur Berechnung die Codingtonschen Positions- und Formfaktoren verwendet. Neben der Angabe von Brechkraft (wahlweise auch Brennweite) und Brechungsindex wird zusätzlich noch der Objekt- oder Bildabstand benötigt. Auch für unendlich ferne Objekte und Bilder lässt sich die Berechnung durchführen. Abbildung 5 in der Bildergalerie zeigt das Layout dieses Teilprogramms.

Zur Berechnung wird zunächst der Positionsfaktor P benötigt (18).

Positionsfaktor P

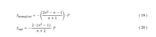
Mit diesem lässt sich nun der Formfaktor S für komafreie Linsen (19) oder Linsen mit minimaler sphärischer Aberration (20) berechnen.

Berechnung des Formfaktors S für komafreie Linsen    


Anschließend lassen sich in (21) und (22) aus dem Formfaktor die Radien  r1 und r2 des optimierten Glases ermitteln.

Aus dem Formfaktor werden die Radien r1 und r2 ermittelt

Berechnungen für sphäro-torische Brillengläser

Das Teilprogramm zur Berechnung der Eigenschaften eines individuellen sphäro-torischen Brillenglases ermöglicht im Vorfeld eine Beurteilung über das Gewicht, die Randdicke sowie die für den Kunden zu erwartende Abbildungsqualität. Mit Hilfe verschiedener frei wählbarer Parameter lässt sich so der beste Kompromiss aus Ästhetik und Sehkomfort ermöglichen. Das Programm benötigt dafür neben Sphäre, Zylinder und Basiskurve eine ganze Reihe weiterer Parameter, wie in Abbildung 6 in der Bildergalerie gezeigt. Die Berechnungen basieren auf [5], eine Darstellung der theoretischen Grundlagen ist allerdings im Umfang dieses Zeitschriftenartikels nicht möglich.

Die gewählte minimale Randdicke ist vorwiegend bei Plus-Gläsern entscheidend. Das Programm berechnet eigenständig die daraus resultierende Mittendicke. Der Abstand des Augendrehpunktes bis zur Rückfläche des Glases (b‘ ) setzt sich aus dem Hornhautscheitelabstand sowie der Lage des Augendrehpunkts (typ. 13,5 mm) zusammen und ist wie auch der Objektabstand (s) frei wählbar. So ist es zum Beispiel möglich, den Objektabstand bei einer individuellen Lesebrille auf die gewünschte Entfernung zu verringern (z.B. - 0,4 m). Abhängig von dem gewählten maximalen Blickwinkel und der Abstufung zeigt das Programm anschließend die resultierenden Rohglasdaten sowie die Abbildungsfehler an, wie in Abbildung 7 in der Bildergalerie gezeigt.

Die Info-App Aalen-Augenoptik-Hörakustik

Seit Mitte des Jahres 2016 betreiben die Aalener Bachelor-Studiengänge Augenoptik/Optometrie und Hörakustik/Audiologie einen gemeinsamen Facebook-Auftritt, auf dem bis dato eine Vielzahl von Events und Neuigkeiten aus den Studiengängen dokumentiert worden sind. Zahlreiche Fotogalerien und Videos geben einen Einblick in die Arbeit der beiden Bereiche. Gerade für Studieninteressierte ist das eine Möglichkeit, sich einen Eindruck des Studentenlebens zu verschaffen, der über die klassischen Informationskanäle wie Flyer und Webseite hinaus geht. Um mit diesen Informationen auch Interessierte jenseits von Facebook zu erreichen, gibt es nun auch eine App, die die Inhalte des Facebook-Portals der Studiengänge auf die Mobilgeräte bringt. Die werbefreie App „Aalen Augenoptik Hörakustik“ ist sowohl für Android- als auch für Apple-Geräte verfügbar und kann über den Google Playstore beziehungsweise den App Store kostenlos abgerufen werden. Abbildung 8 in der Bildergalerie zeigt einige der Möglichkeiten der App.


Literatur

[1] Nierath R. Entwicklung einer Android-Applikation zur Berechnung von optischen Formeln. Bachelorarbeit, Studiengang Augenoptik/Optometrie, Hochschule Aalen, Aalen (2017)

[2] Java Development Kit, kostenlos verfügbar unter http://www.oracle.com/technetwork/java/javase/downloads/jdk8-downloads-2133151.html (Link geprüft am 2

[3] Integrierte Entwicklungsumgebung Android Studio, kostenlos verfügbar unter https://developer.android.com/studio/index.html (Link geprüft am 26.2.2018)

[4] Baltes-Götz B. Einführung in die Entwicklung von Android-Apps. Ausgabe 2016 (Rev. 160926),  Zentrum für Informations-, Medien- und Kommunikationstechnologie (ZIMK) an der Universität Trier, Trier (2016). Abgerufen am 26.2.2018 unter https://www.uni-trier.de/fileadmin/urt/doku/android/android.pdfP.

[5] Baumbach P. Optik und Technik der Brille 2 – Projekt Einstärkenglasentwicklung. Vorlesungsunterlagen, Hochschule Aalen, Aalen (2015)

René Nierath, Jürgen Nolting

Geschrieben von

DOZ Redaktion

Redaktion

Unser Redaktionsteam ist das Gesicht des DOZ-Verlags – nah an der Branche, kritisch im Blick, präzise in der Recherche. Mit fachlicher Tiefe, journalistischem Anspruch und einem echten Gespür für relevante Themen.

Zum Autorenprofil